



應用領域
磷礦浮選機生產線可適用于礦石結構構造復雜多樣,礦物賦存關系復雜,堪布粒度細小,鑲嵌關系密切,混雜共生普遍,單體解離難的磷礦石。
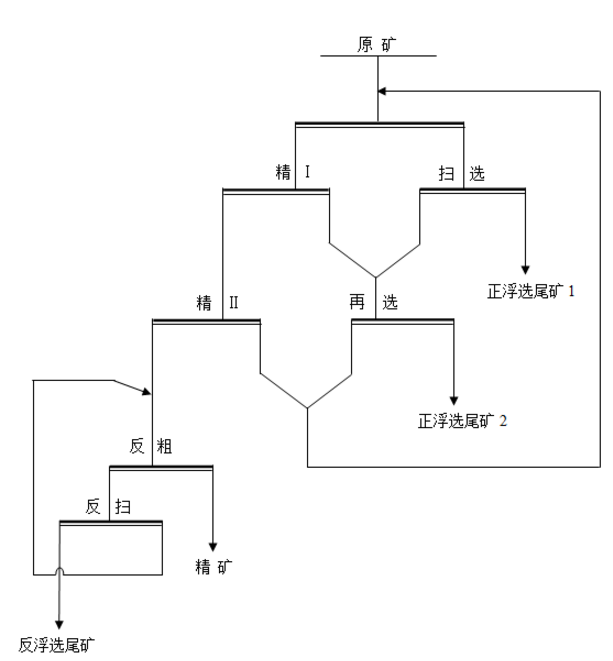
工藝流程
1、正浮選工藝:
直接浮選是采用有效的抑制劑抑制脈石礦物,用捕收劑將磷礦物富集于泡沫中,可適用于低品位磷礦石,包括巖漿巖型磷灰石和沉積變質型磷灰巖礦石;
2、反浮選工藝:
主要用于磷礦和白云石的分離,在弱堿性介質中用脂肪酸捕收劑浮出白云石,將磷礦物富集于槽內,最大的優點是實現了常溫浮選,槽內產品粒度較粗有利于產品后處理;
3、雙反浮選工藝:
雙反浮選是在堿性的條件下,讓硅酸鹽表面帶正電荷而用陰離子捕收劑實現目的礦物分離,即先浮選白云石,再反浮選硅酸鹽,槽中產品即為重精礦,該生產線可在常溫、較粗粒度的條件下進行。
相關示意圖如下所示:

您好!請在下方填寫您聯系方式和詳細需求,以便能為您提供更加詳細的講解。
我們會盡快安排工作人員與您聯系!
您的稱呼:
聯系電話:
您的郵箱:
留言內容:
* 產品:
* 礦石:
* 處理量: (t/d 或 t/h)
* 姓名:
* 郵箱:
* 電話:
* 留言內容: